Математика – страница 63
Неориентированный граф
представлен матрицей смежностей, изображённой в виде таблицы, в которой, кроме элементов матрицы смежностей, указаны номера вершин графа.

В таблице (матрице смежностей) имеется утерянный фрагмент, который затемнён.
Тогда утерянный фрагмент имеет вид …
представлен матрицей смежностей, изображённой в виде таблицы, в которой, кроме элементов матрицы смежностей, указаны номера вершин графа.
В таблице (матрице смежностей) имеется утерянный фрагмент, который затемнён.
Тогда утерянный фрагмент имеет вид …
Точка А симметрична точке
относительно полярной оси,
.
Тогда прямоугольные координаты точки
, при условии, что начало координат прямоугольной системы совпадает с полюсом полярной системы, а положительная полуось абсцисс – с полярной осью и обе системы координат правые, равны …
относительно полярной оси,
. Тогда прямоугольные координаты точки
, при условии, что начало координат прямоугольной системы совпадает с полюсом полярной системы, а положительная полуось абсцисс – с полярной осью и обе системы координат правые, равны …Дано общее уравнение плоскости
. Тогда нормальное уравнение этой плоскости имеет вид …
. Тогда нормальное уравнение этой плоскости имеет вид …С первого станка на сборку поступает 20%, со второго – 80% всех деталей. Среди деталей первого станка 85% стандартных, второго – 95%. Наудачу взятая деталь оказалась нестандартной. Тогда вероятность того, что она поступила на сборку со второго станка, равна …
Дано множество
с метрикой
, где
и
.
Тогда областью, соответствующей неравенству
, где
– начало координат, является …
с метрикой
, где
и
.Тогда областью, соответствующей неравенству
, где
– начало координат, является …Комплексное число
в тригонометрической форме имеет вид …
в тригонометрической форме имеет вид …Все точки
комплексной плоскости, принадлежащие множеству D, изображённому на рисунке,

удовлетворяют условию …
комплексной плоскости, принадлежащие множеству D, изображённому на рисунке,
удовлетворяют условию …
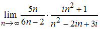
Предел
равен …
равен …
при отображении
является множество …
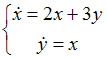
имеет вид …
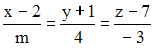
и плоскость
перпендикулярны при значениях m и С, равных …
и
является множество …
при отображении
является множество …
равна …