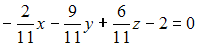
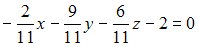
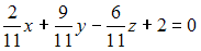
Дано общее уравнение плоскости Изображение вопроса Дано общее уравнение плоскости . Тогда нормальное .... Тогда нормальное уравнение этой плоскости имеет вид …
• 
• 
• 
• 
Тема: Плоскость в пространстве
Предмет: Математика