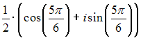
Комплексное число  Изображение вопроса Комплексное число   в тригонометрической форме име... в тригонометрической форме имеет вид …
• 
• 
• 
• 
Тема: Комплексные числа и их представления
Предмет: Математика