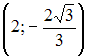
Точка А симметрична точке
относительно полярной оси,
.
Тогда прямоугольные координаты точки
, при условии, что начало координат прямоугольной системы совпадает с полюсом полярной системы, а положительная полуось абсцисс – с полярной осью и обе системы координат правые, равны …
относительно полярной оси,
. Тогда прямоугольные координаты точки
, при условии, что начало координат прямоугольной системы совпадает с полюсом полярной системы, а положительная полуось абсцисс – с полярной осью и обе системы координат правые, равны …• 

• 

• 

• 
