Математика – страница 35
В теории потребления предполагается, что функция полезности потребителя
не обладает свойством …
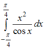
не обладает свойством …Для определенного интеграла
справедливо равенство …
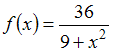
справедливо равенство …Область определения функции
имеет вид …
имеет вид …Матрица выигрышей в игре с природой имеет вид

Тогда оптимальной по критерию пессимизма-оптимизма Гурвица относительно выигрышей с показателем пессимизма
будет стратегия …

Тогда оптимальной по критерию пессимизма-оптимизма Гурвица относительно выигрышей с показателем пессимизма
будет стратегия …Функция полезности потребителя имеет вид
, а оптимальное потребление:
,
. Тогда предельная полезность блага
равна …
, а оптимальное потребление:
,
. Тогда предельная полезность блага
равна …Аксиомой линейного пространства
не является …
не является …Значение определенного интеграла
принадлежит промежутку …
принадлежит промежутку …Матрица выигрышей в игре с природой имеет вид:

Тогда средний выигрыш игрока по критерию Байеса относительно выигрышей будет равен …

Тогда средний выигрыш игрока по критерию Байеса относительно выигрышей будет равен …
Функция полезности потребителя имеет вид
, а бюджетное ограничение
. Оптимальный набор благ потребителя:
и
,
. При уменьшении дохода на 1 единицу значение множителя Лагранжа
соответствует…
, а бюджетное ограничение
. Оптимальный набор благ потребителя:
и
,
. При уменьшении дохода на 1 единицу значение множителя Лагранжа
соответствует…Для определенного интеграла
справедливо неравенство …
справедливо неравенство …Матрица рисков в игре с природой имеет вид:

Тогда средний риск игрока по критерию Байеса относительно рисков будет равен …

Тогда средний риск игрока по критерию Байеса относительно рисков будет равен …
Определенный интеграл
равен …
равен …
имеет вид
. Тогда значение
равно …
равен единице, если
принимают значения …
на отрезке
равно …