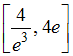
Значение определенного интеграла Изображение вопроса Значение определенного интеграла  принадлежит пром... принадлежит промежутку …
• 
• 
• 
• 
Тема: Свойства определенного интеграла
Предмет: Математика