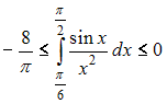
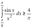
Для определенного интеграла Изображение вопроса Для определенного интеграла  справедливо неравенст... справедливо неравенство …
• 
• 
• 
• 
Тема: Свойства определенного интеграла
Предмет: Математика