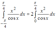
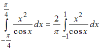
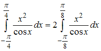
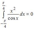
Для определенного интеграла Изображение вопроса Для определенного интеграла  справедливо равенство... справедливо равенство …
• 
• 
• 
• 
Тема: Свойства определенного интеграла
Предмет: Математика