Математика – страница 26
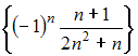
Из генеральной совокупности извлечена выборка объема
, полигон частот которой имеет вид:

Тогда относительная частота варианты
в выборке равна …
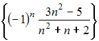
, полигон частот которой имеет вид:
Тогда относительная частота варианты
в выборке равна …Дифференциальное уравнение
заменой
приводится к уравнению с разделенными переменными, которое имеет вид …
заменой
приводится к уравнению с разделенными переменными, которое имеет вид …Дан доверительный интервал
для оценки математического ожидания нормально распределенного количественного признака. Тогда при уменьшении надежности (доверительной вероятности) оценки доверительный интервал может принять вид …
для оценки математического ожидания нормально распределенного количественного признака. Тогда при уменьшении надежности (доверительной вероятности) оценки доверительный интервал может принять вид …Из генеральной совокупности извлечена выборка объема
:

Тогда выборочное среднее квадратическое отклонение равно …
:
Тогда выборочное среднее квадратическое отклонение равно …
Для вычисления предела
один раз применили правило Лопиталя. Тогда предел примет вид …
один раз применили правило Лопиталя. Тогда предел примет вид …Координаты центра поверхности
равны …
равны …Если подкасательная в любой точке кривой равна удвоенной абсциссе точки касания, то уравнение этой кривой будет иметь вид …
Точечная оценка математического ожидания нормально распределенного количественного признака равна 12,04. Тогда его интервальная оценка с точностью 1,66 имеет вид …
Область допустимых решений ABCDE задачи линейного программирования имеет вид:

Тогда максимальное значение функции
достигается в точке …

Тогда максимальное значение функции
достигается в точке …
и
. Тогда решением уравнения
является матрица
, равная …
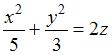
пересекается с плоскостью
по …
функции
имеет вид …
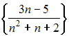
,
,
,
не является сходящейся последовательность …
и
, имеет вид …
и осью
, равна …