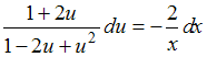
Дифференциальное уравнение
заменой
приводится к уравнению с разделенными переменными, которое имеет вид …
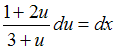
заменой
приводится к уравнению с разделенными переменными, которое имеет вид …• 

• 

• 

• 

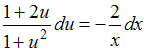
заменой
приводится к уравнению с разделенными переменными, которое имеет вид …


