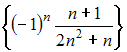
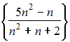
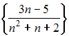
Из числовых последовательностей  Изображение вопроса Из числовых последовательностей  , , ,  не являетс..., Изображение вопроса Из числовых последовательностей  , , ,  не являетс..., Изображение вопроса Из числовых последовательностей  , , ,  не являетс..., Изображение вопроса Из числовых последовательностей  , , ,  не являетс... не является сходящейся последовательность …
• 
• 
• 
• 
Тема: Числовые последовательности
Предмет: Математика