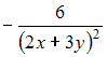
Частная производная второго порядка Изображение вопроса Частная производная второго порядка  функции  имее... функции Изображение вопроса Частная производная второго порядка  функции  имее... имеет вид …
• 
• 
• 
• 
Тема: Дифференциальное исчисление ФНП
Предмет: Математика