Математика – страница 25
Функция
задана в параметрическом виде
Тогда производная второго порядка функции
по переменной
имеет вид …
задана в параметрическом виде
Тогда производная второго порядка функции
по переменной
имеет вид …Математическое ожидание дискретной случайной величины
, заданной законом распределения вероятностей:

равно 4,4. Тогда значение вероятности
равно …
, заданной законом распределения вероятностей:
равно 4,4. Тогда значение вероятности
равно …Нормальное уравнение плоскости
имеет вид …
имеет вид …Длина перпендикуляра, опущенного из начала координат на прямую, заданную уравнением
, равна …
, равна …Даны вектор
и матрица
перехода от старого базиса к новому. Тогда координаты вектора
в новом базисе имеют вид …
и матрица
перехода от старого базиса к новому. Тогда координаты вектора
в новом базисе имеют вид …В результате измерений некоторой физической величины одним прибором (без систематических ошибок) получены следующие результаты (в мм): 3,6; 3,8; 4,3. Тогда несмещенная оценка дисперсии равна …
Точечная оценка среднего квадратического отклонения нормально распределенного количественного признака равна 3,5. Тогда его интервальная оценка может иметь вид …
В электрическую цепь параллельно включены три элемента, работающие независимо друг от друга. Вероятности отказов элементов равны соответственно 0,05, 0,1, 0,20. Тогда вероятность того, что тока в цепи не будет, равна …
В партии из 12 деталей имеется 5 бракованных. Наудачу отобраны три детали. Тогда вероятность того, что среди отобранных деталей нет бракованных, равна …
При решении системы дифференциальных уравнений
можно получить уравнение второго порядка вида …
можно получить уравнение второго порядка вида …
задана в неявном виде
Тогда производная первого порядка функции
по переменной
имеет вид …
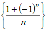
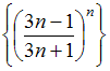
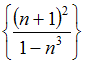
,
,
,
бесконечно малой не является последовательность …
,
и
. Тогда координаты точки пересечения медиан треугольника равны …
параллельно плоскости
, имеет вид …