Функция
задана в неявном виде
Тогда производная первого порядка функции
по переменной
имеет вид …
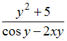
задана в неявном виде
Тогда производная первого порядка функции
по переменной
имеет вид …• 

• 

• 

• 

задана в неявном виде
Тогда производная первого порядка функции
по переменной
имеет вид …


