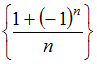
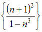
Из числовых последовательностей  Изображение вопроса Из числовых последовательностей  , , ,  бесконечно..., Изображение вопроса Из числовых последовательностей  , , ,  бесконечно..., Изображение вопроса Из числовых последовательностей  , , ,  бесконечно..., Изображение вопроса Из числовых последовательностей  , , ,  бесконечно... бесконечно малой не является  последовательность …
• 
• 
• 
• 
Тема: Числовые последовательности
Предмет: Математика