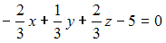
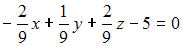
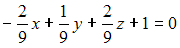
Нормальное уравнение плоскости Изображение вопроса Нормальное уравнение плоскости  имеет вид …... имеет вид …
• 
• 
• 
• 
Тема: Плоскость в пространстве
Предмет: Математика