Математика – страница 24
Интервал сходимости степенного ряда
имеет вид …
имеет вид …Решение задачи Коши
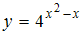
, имеет вид …
, имеет вид …Ряд Маклорена для функции
имеет вид …
имеет вид …Из урны, в которой находятся 6 черных шаров и 4 белых шара, вынимают одновременно 3 шара. Тогда вероятность того, что среди отобранных два шара будут черными, равна …
Даны три вершины параллелограмма:
,
,
. Тогда четвертая вершина
, противолежащая вершине
, имеет координаты …
,
,
. Тогда четвертая вершина
, противолежащая вершине
, имеет координаты …Плоскость проходит через точку
и отсекает на осях абсцисс и ординат в положительных направлениях отрезки длины 3 и 5 соответственно. Тогда общее уравнение плоскости имеет вид …
и отсекает на осях абсцисс и ординат в положительных направлениях отрезки длины 3 и 5 соответственно. Тогда общее уравнение плоскости имеет вид …Дифференциал функции
равен …
равен …Вершина параболоида
имеет координаты …
имеет координаты …Дискретная случайная величина X задана законом распределения вероятностей:

Тогда ее среднее квадратическое отклонение равно …

Тогда ее среднее квадратическое отклонение равно …
Банк выдал пять кредитов. Вероятность того, что кредит не будет погашен в срок, равна 0,1. Тогда вероятность того, что в срок не будут погашены три кредита, равна …
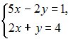
Решение системы линейных уравнений
методом Крамера может иметь вид …
методом Крамера может иметь вид …
,
,
. Тогда
равно …
и
. Если матрица
является вырожденной, то значение a равно …
и
. Тогда координаты точки
, симметричной точке
относительно точки
, равны …