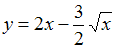
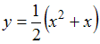
Решение задачи Коши Изображение вопроса Решение задачи Коши , имеет вид …..., имеет вид …
• 
• 
• 
• 
Тема: Задача Коши для дифференциального уравнения первого порядка
Предмет: Математика