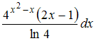
Дифференциал функции Изображение вопроса Дифференциал функции  равен …... равен …
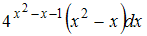
• 
• 
• 
• 
Тема: Дифференциалы и теоремы о дифференцируемых функциях
Предмет: Математика