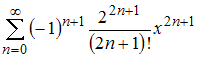
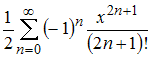
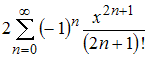
Ряд Маклорена для функции Изображение вопроса Ряд Маклорена для функции   имеет вид …...  имеет вид …
• ,  
• ,  
• ,  
• ,  
Тема: Ряд Тейлора (Маклорена)
Предмет: Математика