Математика – страница 223
Дифференциальное уравнение
заменой
приводится к уравнению с разделенными переменными,
которое имеет вид …
заменой
приводится к уравнению с разделенными переменными, которое имеет вид …
Общий интеграл дифференциального уравнения
имеет вид …
имеет вид …4 Кейс-задания: Кейс 2 подзадача 1
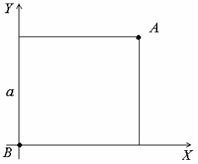
Парк развлечений, имеющий форму квадрата со стороной a, освещают две осветительные установки A и B, расположенные в противолежащих вершинах этого квадрата (см. рисунок).

Устройство этих установок таково, что наилучшая освещенность на поверхности парка достигается в точках, отстоящих в
раза дальше от установки A, чем от установки B. Через все такие точки проложили пешеходную дорожку.
Если ввести систему координат так, как показано на рисунке, то уравнение линии, на которой расположены все такие точки, может быть записано в виде …

Парк развлечений, имеющий форму квадрата со стороной a, освещают две осветительные установки A и B, расположенные в противолежащих вершинах этого квадрата (см. рисунок).

Устройство этих установок таково, что наилучшая освещенность на поверхности парка достигается в точках, отстоящих в
раза дальше от установки A, чем от установки B. Через все такие точки проложили пешеходную дорожку.Если ввести систему координат так, как показано на рисунке, то уравнение линии, на которой расположены все такие точки, может быть записано в виде …

5 Кейс-задания: Кейс 2 подзадача 2
Парк развлечений, имеющий форму квадрата со стороной a, освещают две осветительные установки A и B, расположенные в противолежащих вершинах этого квадрата (см. рисунок).

Устройство этих установок таково, что наилучшая освещенность на поверхности парка достигается в точках, отстоящих в
раза дальше от установки A, чем от установки B. Через все такие точки проложили пешеходную дорожку.
В местах пересечения этой дорожки со сторонами квадрата расположены входы в парк. Пусть сторона квадрата равна
м. Тогда расстояние от установки B до ближайшего такого входа равно ____ м.
Парк развлечений, имеющий форму квадрата со стороной a, освещают две осветительные установки A и B, расположенные в противолежащих вершинах этого квадрата (см. рисунок).

Устройство этих установок таково, что наилучшая освещенность на поверхности парка достигается в точках, отстоящих в
раза дальше от установки A, чем от установки B. Через все такие точки проложили пешеходную дорожку.В местах пересечения этой дорожки со сторонами квадрата расположены входы в парк. Пусть сторона квадрата равна
м. Тогда расстояние от установки B до ближайшего такого входа равно ____ м.Дифференциальное уравнение
заменой
приводится к уравнению с разделенными переменными, которое имеет вид …
заменой
приводится к уравнению с разделенными переменными, которое имеет вид …Дифференциальное уравнение
будет однородным дифференциальным уравнением первого порядка при
равном …
будет однородным дифференциальным уравнением первого порядка при
равном …Даны кривые безразличия
,
и
функции полезности потребителя и наборы благ потребителя A, B и C:

Тогда …
,
и
функции полезности потребителя и наборы благ потребителя A, B и C:
Тогда …
Даны кривые безразличия
и
функции полезности потребителя и наборы благ потребителя A, B, C и D:

Тогда …
и
функции полезности потребителя и наборы благ потребителя A, B, C и D:
Тогда …
Даны кривые безразличия
функции полезности потребителя и наборы благ потребителя A, B, C и D.

Тогда …
функции полезности потребителя и наборы благ потребителя A, B, C и D.
Тогда …
13 Кейс-задания: Кейс 1 подзадача 1
Для контроля уровня снега на горнолыжном склоне используются снегоуборочные машины. Изменение объема снега, выпадающего на склон в течение суток, можно описать уравнением
где
– объем снега (в
), выпавшего на склон за время t (в часах), 
Снегоуборочные машины работают в течение светлого времени суток с 6 до 18 часов
с постоянной скоростью уборки снега 165 
В момент времени
на склоне лежит 380
снега.
Пусть
– объем снега, лежащего на склоне в момент времени t, тогда математическая модель для нахождения
может иметь вид …
Для контроля уровня снега на горнолыжном склоне используются снегоуборочные машины. Изменение объема снега, выпадающего на склон в течение суток, можно описать уравнением
где
– объем снега (в
), выпавшего на склон за время t (в часах), 
Снегоуборочные машины работают в течение светлого времени суток с 6 до 18 часов
с постоянной скоростью уборки снега 165 
В момент времени
на склоне лежит 380
снега.Пусть
– объем снега, лежащего на склоне в момент времени t, тогда математическая модель для нахождения
может иметь вид …14 Кейс-задания: Кейс 1 подзадача 2
Для контроля уровня снега на горнолыжном склоне используются снегоуборочные машины. Изменение объема снега, выпадающего на склон в течение суток, можно описать уравнением
где
– объем снега (в
), выпавшего на склон за время t (в часах), 
Снегоуборочные машины работают в течение светлого времени суток с 6 до 18 часов
с постоянной скоростью уборки снега 165 
В момент времени
на склоне лежит 380
снега.
Установите соответствие между временем t и объемом снега, лежащего на склоне
1.
часа
2.
часов
Для контроля уровня снега на горнолыжном склоне используются снегоуборочные машины. Изменение объема снега, выпадающего на склон в течение суток, можно описать уравнением
где
– объем снега (в
), выпавшего на склон за время t (в часах), 
Снегоуборочные машины работают в течение светлого времени суток с 6 до 18 часов
с постоянной скоростью уборки снега 165 
В момент времени
на склоне лежит 380
снега.Установите соответствие между временем t и объемом снега, лежащего на склоне

1.
часа2.
часов15 Кейс-задания: Кейс 1 подзадача 3
Для контроля уровня снега на горнолыжном склоне используются снегоуборочные машины. Изменение объема снега, выпадающего на склон в течение суток, можно описать уравнением
где
– объем снега (в
), выпавшего на склон за время t (в часах), 
Снегоуборочные машины работают в течение светлого времени суток с 6 до 18 часов
с постоянной скоростью уборки снега 165 
В момент времени
на склоне лежит 380
снега.
Пусть снегоуборочные машины не работали в обеденное время
тогда объем снега, лежащего на склоне в конце дня
будет равен ____ 
Для контроля уровня снега на горнолыжном склоне используются снегоуборочные машины. Изменение объема снега, выпадающего на склон в течение суток, можно описать уравнением
где
– объем снега (в
), выпавшего на склон за время t (в часах), 
Снегоуборочные машины работают в течение светлого времени суток с 6 до 18 часов
с постоянной скоростью уборки снега 165 
В момент времени
на склоне лежит 380
снега.Пусть снегоуборочные машины не работали в обеденное время
тогда объем снега, лежащего на склоне в конце дня
будет равен ____ 
16 Кейс-задания: Кейс 2 подзадача 1
В городском парке, имеющем форму квадрата со стороной a, установлены две осветительные установки A и B, расположенные в противолежащих вершинах этого квадрата (см. рисунок).

Устройство этих установок таково, что наилучшая освещенность на поверхности парка достигается в таких точках М, для которых выполняется условие
Через все такие точки проложили пешеходную дорожку.
Если ввести систему координат так, как показано на рисунке, то уравнение линии, на которой расположены все такие точки, может быть записано в виде …

В городском парке, имеющем форму квадрата со стороной a, установлены две осветительные установки A и B, расположенные в противолежащих вершинах этого квадрата (см. рисунок).

Устройство этих установок таково, что наилучшая освещенность на поверхности парка достигается в таких точках М, для которых выполняется условие
Через все такие точки проложили пешеходную дорожку.Если ввести систему координат так, как показано на рисунке, то уравнение линии, на которой расположены все такие точки, может быть записано в виде …

17 Кейс-задания: Кейс 1 подзадача 1
Во время весеннего паводка изменение объема поступающей в озеро воды в течение суток можно описать уравнением
где
– объем поступившей в озеро воды (в
) за время t (в часах), 
Для того чтобы уровень воды в озере не превысил предельного уровня, оборудован сток воды из озера с постоянной скоростью 72
В момент времени
объем воды в озере составил 48000 
Если
– объем воды в озере в момент времени t, то математическая модель для нахождения
может иметь вид …
Во время весеннего паводка изменение объема поступающей в озеро воды в течение суток можно описать уравнением
где
– объем поступившей в озеро воды (в
) за время t (в часах), 
Для того чтобы уровень воды в озере не превысил предельного уровня, оборудован сток воды из озера с постоянной скоростью 72

В момент времени
объем воды в озере составил 48000 
Если
– объем воды в озере в момент времени t, то математическая модель для нахождения
может иметь вид …18 Кейс-задания: Кейс 1 подзадача 2
Во время весеннего паводка изменение объема поступающей в озеро воды в течение суток можно описать уравнением
где
– объем поступившей в озеро воды (в
) за время t (в часах), 
Для того чтобы уровень воды в озере не превысил предельного уровня, оборудован сток воды из озера с постоянной скоростью 72
В момент времени
объем воды в озере составил 48000 
Установите соответствие между временем t и объемом воды в озере
1.
часов
2.
часов
Во время весеннего паводка изменение объема поступающей в озеро воды в течение суток можно описать уравнением
где
– объем поступившей в озеро воды (в
) за время t (в часах), 
Для того чтобы уровень воды в озере не превысил предельного уровня, оборудован сток воды из озера с постоянной скоростью 72

В момент времени
объем воды в озере составил 48000 
Установите соответствие между временем t и объемом воды в озере

1.
часов2.
часов19 Кейс-задания: Кейс 1 подзадача 3
Во время весеннего паводка изменение объема поступающей в озеро воды в течение суток можно описать уравнением
где
– объем поступившей в озеро воды (в
) за время t (в часах), 
Для того чтобы уровень воды в озере не превысил предельного уровня, оборудован сток воды из озера с постоянной скоростью 72
В момент времени
объем воды в озере составил 48000 
Если в момент времени
сток воды из озера был перекрыт и до конца суток вода из озера не вытекала, то объем воды в озере в конце дня
будет равен ___ 
Во время весеннего паводка изменение объема поступающей в озеро воды в течение суток можно описать уравнением
где
– объем поступившей в озеро воды (в
) за время t (в часах), 
Для того чтобы уровень воды в озере не превысил предельного уровня, оборудован сток воды из озера с постоянной скоростью 72

В момент времени
объем воды в озере составил 48000 
Если в момент времени
сток воды из озера был перекрыт и до конца суток вода из озера не вытекала, то объем воды в озере в конце дня
будет равен ___ 
20 Кейс-задания: Кейс 2 подзадача 1
В городском парке установлены две осветительные установки A и B, расположенные на расстоянии d = 96 метров друг от друга.
Устройство этих установок таково, что наилучшая освещенность на поверхности парка достигается в таких точках М, для которых выполняется условие:
Через все такие точки проложили пешеходную дорожку.
Если ввести систему координат так, чтобы начало координат совпадало с расположением установки A, а ось ОХ была направлена в сторону установки B (см. рисунок), то уравнение линии, на которой расположены все такие точки, может быть записано в виде …

В городском парке установлены две осветительные установки A и B, расположенные на расстоянии d = 96 метров друг от друга.
Устройство этих установок таково, что наилучшая освещенность на поверхности парка достигается в таких точках М, для которых выполняется условие:
Через все такие точки проложили пешеходную дорожку.Если ввести систему координат так, чтобы начало координат совпадало с расположением установки A, а ось ОХ была направлена в сторону установки B (см. рисунок), то уравнение линии, на которой расположены все такие точки, может быть записано в виде …

21 Кейс-задания: Кейс 2 подзадача 2
В городском парке установлены две осветительные установки A и B, расположенные на расстоянии d = 96 метров друг от друга.
Устройство этих установок таково, что наилучшая освещенность на поверхности парка достигается в таких точках М, для которых выполняется условие:
Через все такие точки проложили пешеходную дорожку.
Пусть L – длина пешеходной дорожки, которую проложили через все такие точки. Тогда значение выражения
равно …
В городском парке установлены две осветительные установки A и B, расположенные на расстоянии d = 96 метров друг от друга.
Устройство этих установок таково, что наилучшая освещенность на поверхности парка достигается в таких точках М, для которых выполняется условие:
Через все такие точки проложили пешеходную дорожку.Пусть L – длина пешеходной дорожки, которую проложили через все такие точки. Тогда значение выражения
равно …Интегральные кривые уравнения
имеют вид …
имеют вид …Дифференциальное уравнение
будет однородным дифференциальным уравнением первого порядка
при
равном …
будет однородным дифференциальным уравнением первого порядка
при
равном …Дифференциальное уравнение
заменой
приводится
к уравнению с разделенными переменными, которое имеет вид …
заменой
приводится к уравнению с разделенными переменными, которое имеет вид …
в точке
вычисленное с помощью полного дифференциала, равно …
функции полезности потребителя и наборы благ потребителя A, B и C.
имеет вид
Тогда значение k равно …