Кейс-задания: Кейс 2 подзадача 1
Парк развлечений, имеющий форму квадрата со стороной a, освещают две осветительные установки A и B, расположенные в противолежащих вершинах этого квадрата (см. рисунок).

Устройство этих установок таково, что наилучшая освещенность на поверхности парка достигается в точках, отстоящих в
раза дальше от установки A, чем от установки B. Через все такие точки проложили пешеходную дорожку.
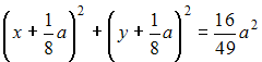
Если ввести систему координат так, как показано на рисунке, то уравнение линии, на которой расположены все такие точки, может быть записано в виде …

Парк развлечений, имеющий форму квадрата со стороной a, освещают две осветительные установки A и B, расположенные в противолежащих вершинах этого квадрата (см. рисунок).

Устройство этих установок таково, что наилучшая освещенность на поверхности парка достигается в точках, отстоящих в
раза дальше от установки A, чем от установки B. Через все такие точки проложили пешеходную дорожку.Если ввести систему координат так, как показано на рисунке, то уравнение линии, на которой расположены все такие точки, может быть записано в виде …

• 

• 

• 

• 
