Кейс-задания: Кейс 2 подзадача 1
В городском парке, имеющем форму квадрата со стороной a, установлены две осветительные установки A и B, расположенные в противолежащих вершинах этого квадрата (см. рисунок).

Устройство этих установок таково, что наилучшая освещенность на поверхности парка достигается в таких точках М, для которых выполняется условие
Через все такие точки проложили пешеходную дорожку.
Если ввести систему координат так, как показано на рисунке, то уравнение линии, на которой расположены все такие точки, может быть записано в виде …

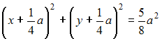
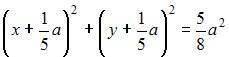
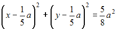
В городском парке, имеющем форму квадрата со стороной a, установлены две осветительные установки A и B, расположенные в противолежащих вершинах этого квадрата (см. рисунок).

Устройство этих установок таково, что наилучшая освещенность на поверхности парка достигается в таких точках М, для которых выполняется условие
Через все такие точки проложили пешеходную дорожку.Если ввести систему координат так, как показано на рисунке, то уравнение линии, на которой расположены все такие точки, может быть записано в виде …

• 

• 

• 

• 
