Математика – страница 211
Эластичным спросом при цене
характеризуется функция спроса вида …
характеризуется функция спроса вида …В полярной системе координат даны точки
и
Полярная ось повернута так, что в новом положении она проходит через точку
Тогда координаты точки
в новой полярной системе равны …
и
Полярная ось повернута так, что в новом положении она проходит через точку
Тогда координаты точки
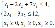
в новой полярной системе равны …Дана задача линейного программирования:
при ограничениях:

Тогда симметричная ей двойственная задача линейного программирования будет иметь вид …
при ограничениях:

Тогда симметричная ей двойственная задача линейного программирования будет иметь вид …
Матричная игра задана платежной матрицей
Тогда седловая точка существует при значении a, равном …
Тогда седловая точка существует при значении a, равном …Неэластичным спросом при цене
характеризуется функция спроса вида …
характеризуется функция спроса вида …Коэффициент при x2 в разложении в степенной ряд решения дифференциального уравнения
удовлетворяющего начальным условиям
и
будет равен …
удовлетворяющего начальным условиям
и
будет равен …Корень уравнения
отделён на отрезке
Какое наименьшее число шагов метода половинного деления достаточно сделать, чтобы получить корень этого уравнения с точностью 0,5?
отделён на отрезке
Какое наименьшее число шагов метода половинного деления достаточно сделать, чтобы получить корень этого уравнения с точностью 0,5?Пусть
и приближённое число
записано со всеми верными цифрами. Предельная абсолютная погрешность
числа b равна 0,001. Тогда предельная абсолютная погрешность
числа a не может быть больше …
и приближённое число
записано со всеми верными цифрами. Предельная абсолютная погрешность
числа b равна 0,001. Тогда предельная абсолютная погрешность
числа a не может быть больше …Дано дифференциальное уравнение
Тогда отрезок соответствующего ему поля направлений в точке
образует с осью Oy угол
при α равном …
Тогда отрезок соответствующего ему поля направлений в точке
образует с осью Oy угол
при α равном …Пусть
и приближённое число
записано со всеми верными цифрами. Предельная абсолютная погрешность
числа b равна 0,001. Тогда в записи приближенного числа
количество верных цифр не менее …
и приближённое число
записано со всеми верными цифрами. Предельная абсолютная погрешность
числа b равна 0,001. Тогда в записи приближенного числа
количество верных цифр не менее …Корень уравнения
отделён на отрезке 

Тогда через два шага метода половинного деления в качестве отрезка, содержащего корень, будет получен отрезок …
отделён на отрезке 

Тогда через два шага метода половинного деления в качестве отрезка, содержащего корень, будет получен отрезок …
и 
имеет вид
Тогда вектор
имеет координаты …