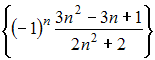
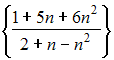
Сходящейся является числовая последовательность …
• 
• 
• 
• 
Тема: Числовые последовательности
Предмет: Математика