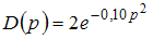
Эластичным спросом при цене Изображение вопроса Эластичным спросом при цене  характеризуется функц... характеризуется функция спроса вида …
• 
• 
• 
• 
Тема: Коэффициенты эластичности
Предмет: Математика