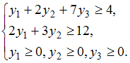
Дана задача линейного программирования:
при ограничениях:

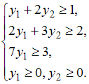
Тогда симметричная ей двойственная задача линейного программирования будет иметь вид …
при ограничениях:

Тогда симметричная ей двойственная задача линейного программирования будет иметь вид …
• 



• 



• 



• 


