Математика – страница 18


Базисное решение системы Изображение вопроса Базисное решение системы  может иметь вид …... может иметь вид …

Наладчик обслуживает три станка. Вероятность того, что в течение часа потребует его вмешательства первый станок, равна Изображение вопроса Наладчик обслуживает три станка. Вероятность того,...; второй – Изображение вопроса Наладчик обслуживает три станка. Вероятность того,...; третий – Изображение вопроса Наладчик обслуживает три станка. Вероятность того,.... Тогда вероятность того, что в течение часа потребуют вмешательства наладчика все три станка, равна …

Числовой ряд  Изображение вопроса Числовой ряд   сходится при , равном …... сходится при Изображение вопроса Числовой ряд   сходится при , равном …..., равном …

5 Если Изображение вопроса Если , то первые три (отличные от нуля) члена разл..., то первые три (отличные от нуля) члена разложения этой функции в ряд Маклорена  имеют вид …



Вероятность поражения цели первым стрелком равна 0,95, а вторым – 0,80. Оба стрелка стреляют одновременно. Тогда вероятность того, что цель будет поражена только одним стрелком, равна …

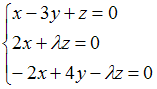
Однородная система Изображение вопроса Однородная система  имеет только одно нулевое реше... имеет только одно нулевое решение, если Изображение вопроса Однородная система  имеет только одно нулевое реше... принимает значения не равные 

Произведением Изображение вопроса Произведением  матрицы  размера  на матрицу  разме... матрицы Изображение вопроса Произведением  матрицы  размера  на матрицу  разме... размера Изображение вопроса Произведением  матрицы  размера  на матрицу  разме... на матрицу Изображение вопроса Произведением  матрицы  размера  на матрицу  разме... размера Изображение вопроса Произведением  матрицы  размера  на матрицу  разме... называется матрица Изображение вопроса Произведением  матрицы  размера  на матрицу  разме... размера Изображение вопроса Произведением  матрицы  размера  на матрицу  разме..., элемент которой Изображение вопроса Произведением  матрицы  размера  на матрицу  разме... равен …

Квадратичная форма, не являющаяся знакоопределенной, может иметь вид …

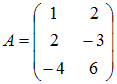
Даны матрицы Изображение вопроса Даны матрицы , . Тогда матрица  равна …..., Изображение вопроса Даны матрицы , . Тогда матрица  равна ….... Тогда матрица Изображение вопроса Даны матрицы , . Тогда матрица  равна …... равна …

Частная производная Изображение вопроса Частная производная  функции  имеет вид …... функции Изображение вопроса Частная производная  функции  имеет вид …... имеет вид …

Объем тела, полученного вращением вокруг оси Изображение вопроса Объем тела, полученного вращением вокруг оси  крив... криволинейной трапеции, ограниченной параболой Изображение вопроса Объем тела, полученного вращением вокруг оси  крив... и осью Изображение вопроса Объем тела, полученного вращением вокруг оси  крив..., равен …

Функция Изображение вопроса Функция  задана в параметрическом виде   Тогда про... задана в параметрическом виде Изображение вопроса Функция  задана в параметрическом виде   Тогда про...  Тогда производная первого порядка функции Изображение вопроса Функция  задана в параметрическом виде   Тогда про... по переменной Изображение вопроса Функция  задана в параметрическом виде   Тогда про... имеет вид …