Функция
задана в параметрическом виде
Тогда производная первого порядка функции
по переменной
имеет вид …
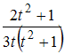
задана в параметрическом виде
Тогда производная первого порядка функции
по переменной
имеет вид …• 

• 

• 

• 

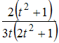
задана в параметрическом виде
Тогда производная первого порядка функции
по переменной
имеет вид …


