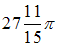
Объем тела, полученного вращением вокруг оси
криволинейной трапеции, ограниченной параболой
и осью
, равен …
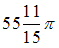
криволинейной трапеции, ограниченной параболой
и осью
, равен …• 

• 

• 

• 

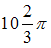
криволинейной трапеции, ограниченной параболой
и осью
, равен …


