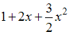
Если
, то первые три (отличные от нуля) члена разложения этой функции в ряд Маклорена имеют вид …
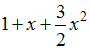
, то первые три (отличные от нуля) члена разложения этой функции в ряд Маклорена имеют вид …•
, 
, 
•
, 
, 
•
, 
, 
•
, 
, 
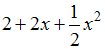
, то первые три (отличные от нуля) члена разложения этой функции в ряд Маклорена имеют вид …
, 
, 
, 
, 