Математика – страница 164
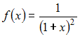
Если разложение в ряд Маклорена функции
имеет вид
, то коэффициент
разложения функции
в ряд Маклорена равен …
имеет вид
, то коэффициент
разложения функции
в ряд Маклорена равен …Даны числовые ряды:
1)
;
2)
.
Используя критерий Коши, исследуйте заданные ряды на сходимость.
Тогда истинным будет утверждение, что …
1)
;2)
.Используя критерий Коши, исследуйте заданные ряды на сходимость.
Тогда истинным будет утверждение, что …
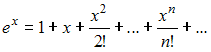
Если разложение в ряд Маклорена функции
имеет вид
, то разложением в ряд по целым неотрицательным степеням переменной х функции
является …
имеет вид
, то разложением в ряд по целым неотрицательным степеням переменной х функции
является …Общее решение линейного неоднородного дифференциального уравнения 2-го порядка
имеет вид…
имеет вид…Если функция
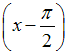
в окрестности точки
представлена своим рядом Тейлора, то коэффициент при
в этом ряде равен …
в окрестности точки
представлена своим рядом Тейлора, то коэффициент при
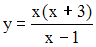
в этом ряде равен …Уравнение наклонной асимптоты графика функции
имеет вид …
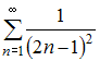
имеет вид …Сумма ряда
равна …
равна …Признак Коши не применим для установления сходимости или расходимости ряда …
Для исследования сходимости или расходимости признак Даламбера не применим к ряду …
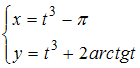
Уравнение наклонной асимптоты графика функции
, заданной параметрическими соотношениями
, где
, имеет вид …
, заданной параметрическими соотношениями
, где
, имеет вид …
,
,
,
расходящимся является ряд …
, то сумма всех значений квадратного корня из
равна …
в ряд по степеням
имеет вид …
при
имеет вид …