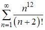
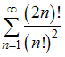
Для исследования сходимости или расходимости признак Даламбера не применим к ряду …
• 
• 
• 
• 
Тема: Сходимость положительных рядов
Предмет: Математика