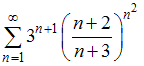
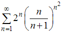
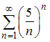
Признак Коши не применим для установления сходимости или расходимости ряда …
• 
• 
• 
• 
Тема: Сходимость положительных рядов
Предмет: Математика