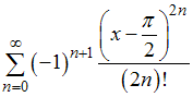
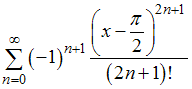
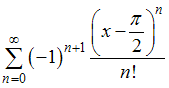
Разложение функции Изображение вопроса Разложение функции  в ряд по степеням  имеет вид &... в ряд по степеням Изображение вопроса Разложение функции  в ряд по степеням  имеет вид &... имеет вид …
• 
• 
• 
• 
Тема: Ряд Тейлора (Маклорена)
Предмет: Математика