Математика – страница 162
Мнимая часть комплексного числа равна 2, а действительная часть равна 3. Тогда комплексное число
имеет вид …
имеет вид …Четыре студента сдают экзамен. Сколько может быть вариантов распределения оценок, если все они сдали экзамен?
Имеется 5 видов конвертов без марок и 4 вида марок одного достоинства. Сколькими способами можно выбрать конверт с маркой для посылки письма?
Объем тела, полученного вращением вокруг оси Oy криволинейной трапеции, ограниченной параболой
и осью Oy, равен …
и осью Oy, равен …Общее решение линейного неоднородного дифференциального уравнения 2-го порядка
имеет вид…
имеет вид…
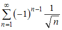
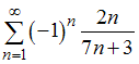
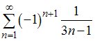
…

. Тогда
равно …
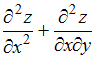
, где
,
.
сложной функции
равна …
функции
, заданной неявно уравнением
, равна …



.