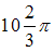
Объем тела, полученного вращением вокруг оси Oy  криволинейной трапеции, ограниченной параболой Изображение вопроса Объем тела, полученного вращением вокруг оси Oy  к... и осью Oy, равен …
• 
• 
• 
• 
Тема: Приложения определенного интеграла
Предмет: Математика