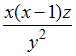
Частная производная Изображение вопроса Частная производная  функции , заданной неявно ура... функции Изображение вопроса Частная производная  функции , заданной неявно ура..., заданной неявно уравнением Изображение вопроса Частная производная  функции , заданной неявно ура..., равна …
• 
• 
• 
• 0
Тема: Частные производные высших порядков
Предмет: Математика