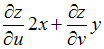
Дана функция Изображение вопроса Дана функция , где , .  
 Тогда производная  сложн..., где Изображение вопроса Дана функция , где , .  
 Тогда производная  сложн..., Изображение вопроса Дана функция , где , .  
 Тогда производная  сложн....
Тогда производная Изображение вопроса Дана функция , где , .  
 Тогда производная  сложн... сложной функции Изображение вопроса Дана функция , где , .  
 Тогда производная  сложн... равна …
• 
• 
• 
• 
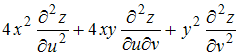
Тема: Частные производные высших порядков
Предмет: Математика