Математика – страница 15
Проведено пять измерений (без систематических ошибок) некоторой случайной величины (в мм): 8, 10, 11, 13, 16. Тогда несмещенная оценка математического ожидания равна …
Высказывание «Ученик напишет контрольную работу успешно тогда и только тогда, когда будет готов к ней и будет внимательно выполнять задания» может быть записано логической формулой …
Основная гипотеза имеет вид
. Тогда конкурирующей может являться гипотеза …
. Тогда конкурирующей может являться гипотеза …
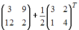
Значение выражения
равно …
равно …
Если выполняется равенство
, то значение х равно…
, то значение х равно…
В урне лежат 12 шаров, среди которых 7 шаров белые. Наудачу по одному извлекают два шара без возвращения. Тогда вероятность того, что оба шара будут белыми, равна …
Необходимо угадать четырехзначный код, который строится из элементов множества
без повторений элементов. Тогда наибольшее число комбинаций, которое, возможно, придется перебрать, равно …
без повторений элементов. Тогда наибольшее число комбинаций, которое, возможно, придется перебрать, равно …
На рисунке показаны следующие множества: основное (универсальное) множество
и его подмножества
,
и
(соответствующие прямоугольные области на плоскости).

Тогда закрашенное подмножество есть …
и его подмножества
,
и
(соответствующие прямоугольные области на плоскости).
Тогда закрашенное подмножество есть …


. Тогда обратная матрица
равна …
равен единице при
, равном …
и
являются решением системы линейных уравнений
, то
равно …
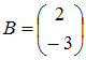
и
. Тогда произведение матриц
равно …