Значение выражения
равно …
равно … • 

•
В процессе решения задачи используйте правила:
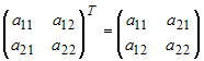
1)
– для операции транспонирования;
2)
– для умножения матрицы на число;
3) если матрица С есть сумма матриц А и В, то элементы матрицы С находятся как
.
•
В процессе решения задачи используйте правила:
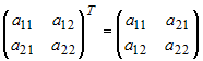
1)
– для операции транспонирования;
2)
– для умножения матрицы на число;
3) если матрица С есть сумма матриц А и В, то элементы матрицы С находятся как
.
•
В процессе решения задачи используйте правила:
1)
– для операции транспонирования;
2)
– для умножения матрицы на число;
3) если матрица С есть сумма матриц А и В, то элементы матрицы С находятся как
.