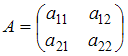
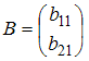
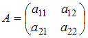
Даны матрицы
и
. Тогда произведение матриц
равно …
и
. Тогда произведение матриц
равно … •
Произведение матриц
и
находится как:
.
• 

•
Произведение матриц
и
находится как:
.
•
Произведение матриц
и
находится как:
.