Проведено пять измерений (без систематических ошибок) некоторой случайной величины (в мм): 8, 10, 11, 13, 16. Тогда несмещенная оценка математического ожидания равна …
• 11,4

Совершена арифметическая ошибка при применении формулы .

• 12,0

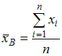
Несмещенная оценка математического ожидания вычисляется по формуле: .

• 11,0

Несмещенная оценка математического ожидания вычисляется по формуле: .

• 11,6
Предмет: Математика