Математика – страница 14
Из генеральной совокупности извлечена выборка объема
, полигон частот которой имеет вид:

Тогда число вариант
в выборке равно …
, полигон частот которой имеет вид:
Тогда число вариант
в выборке равно …
Выборочное уравнение парной регрессии имеет вид
. Тогда выборочный коэффициент регрессии равен …
. Тогда выборочный коэффициент регрессии равен …
Из урны, в которой лежат 7 белых и 3 черных шара, наудачу по одному извлекают два шара без возвращения. Тогда вероятность того, что хотя бы один шар будет белым, равна …
После бури на участке между 50-ым и 70-ым километрами высоковольтной линии электропередач произошел обрыв проводов. Тогда вероятность того, что авария произошла между 60-ым и 63-им километрами, равна …
Определитель
после приведения к треугольному виду можно записать как …
после приведения к треугольному виду можно записать как …
В первой урне 7 черных и 3 белых шара. Во второй урне 4 черных и 6 белых шаров. Из наудачу взятой урны вытаскивается один шар, который оказался белым. Тогда вероятность того, что этот шар был вынут из первой урны, равна …
В первой урне 8 черных и 2 белых шаров. Во второй урне 3 белых и 7 черных шаров. Из наудачу взятой урны вынули один шар. Тогда вероятность того, что этот шар окажется белым, равна …
Функция распределения вероятностей равномерно распределенной случайной величины
изображена на рисунке:

Тогда ее дисперсия равна …
изображена на рисунке:
Тогда ее дисперсия равна …
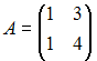
не существует обратной, если значение
равно …
Если
где
– единичная матрица того же размера, что и матрица
, то матрица
равна …
и
. Тогда для этих множеств справедливо …
задана законом распределения вероятностей:
равна …
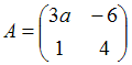
. Если Е – единичная матрица того же размера, что и матрица
, то матрица
равна …
, то обратная к ней матрица
равна …
задана законом распределения вероятностей: