Функция распределения вероятностей равномерно распределенной случайной величины
изображена на рисунке:

Тогда ее дисперсия равна …
изображена на рисунке:
Тогда ее дисперсия равна …
• 49
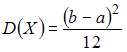
Дисперсия случайной величины, распределенной равномерно в интервале
, находится как
.
• 

• 1,5
Вычислено математическое ожидание случайной величины, распределенной равномерно в интервале
.
•
Дисперсия случайной величины, распределенной равномерно в интервале
, находится как
.