Математика – страница 104

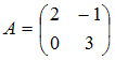
В базисе  Изображение вопроса В базисе   двухмерного линейного пространства лине... двухмерного линейного пространства линейное преобразование Изображение вопроса В базисе   двухмерного линейного пространства лине... задается матрицей Изображение вопроса В базисе   двухмерного линейного пространства лине.... Если  Изображение вопроса В базисе   двухмерного линейного пространства лине... и Изображение вопроса В базисе   двухмерного линейного пространства лине..., то  b  равно …

Дано множество всех квадратных матриц 2 порядка с обычной операцией умножения. Тогда нейтральным элементом относительно указанной операции является матрица …

Точка Изображение вопроса Точка  задана в полярной системе координат . Тогда... задана в полярной системе координат Изображение вопроса Точка  задана в полярной системе координат . Тогда.... Тогда ее прямоугольные координаты Изображение вопроса Точка  задана в полярной системе координат . Тогда... при условии, что начало координат прямоугольной системы совпадает с полюсом полярной системы, а положительная полуось абсцисс – с полярной осью и обе системы координат правые, равны …

Будучи приведённым к уравнению с разделёнными переменными, дифференциальное уравнение  Изображение вопроса Будучи приведённым к уравнению с разделn...  примет вид …

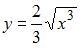
Длина дуги кривой Изображение вопроса Длина дуги кривой  от начала координат до точки с ... от начала координат до точки с абсциссой Изображение вопроса Длина дуги кривой  от начала координат до точки с ...равна …



Дано множество
Изображение вопроса Дано множество  
 . 
 Пусть  – булеан множес....
Пусть Изображение вопроса Дано множество  
 . 
 Пусть  – булеан множес... – булеан множества Изображение вопроса Дано множество  
 . 
 Пусть  – булеан множес..., т.е. множество всех подмножеств множества Изображение вопроса Дано множество  
 . 
 Пусть  – булеан множес....
Тогда истинным будет соотношение …

Высказывание «Ученик напишет контрольную работу успешно тогда и только тогда, когда будет готов к ней и будет внимательно выполнять задания» может быть записано логической формулой …

Даны два полинома (многочлена) над полем действительных чисел
Изображение вопроса Даны два полинома (многочлена) над полем действите... и Изображение вопроса Даны два полинома (многочлена) над полем действите....
Тогда остаток от деления полинома Изображение вопроса Даны два полинома (многочлена) над полем действите... на полином Изображение вопроса Даны два полинома (многочлена) над полем действите... равен …

11 Если Изображение вопроса Если , то коэффициент  (при ) разложения данной фу..., то коэффициент Изображение вопроса Если , то коэффициент  (при ) разложения данной фу... (при Изображение вопроса Если , то коэффициент  (при ) разложения данной фу...) разложения данной функции в ряд Маклорена равен …

Множество первообразных функции Изображение вопроса Множество первообразных функции  описывается соотн... описывается соотношением …



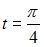
Уравнение касательной прямой к линии (годографу)
Изображение вопроса Уравнение касательной прямой к линии (годографу)  ... в точке, соответствующей значению параметра Изображение вопроса Уравнение касательной прямой к линии (годографу)  ..., имеет вид …