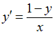
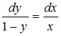
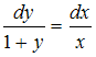
Будучи приведённым к уравнению с разделёнными переменными, дифференциальное уравнение  Изображение вопроса Будучи приведённым к уравнению с разделn...  примет вид …
• 
• 
• 
• 
Тема: Дифференциальные уравнения с разделяющимися переменными
Предмет: Математика