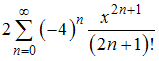
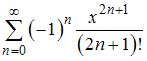
Рядом Маклорена для функции Изображение вопроса Рядом Маклорена для функции  является …... является …
• 
• 
• 
• 
Тема: Ряд Маклорена
Предмет: Математика