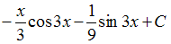
Множество первообразных функции Изображение вопроса Множество первообразных функции  описывается соотн... описывается соотношением …
• 
• 
• 
• 
Тема: Отыскание первообразных
Предмет: Математика