Математика – страница 10
Точечная оценка математического ожидания нормально распределенного количественного признака равна
. Тогда его интервальная оценка может иметь вид …
. Тогда его интервальная оценка может иметь вид …Из генеральной совокупности извлечена выборка объема
, гистограмма частот которой имеет вид:

Тогда значение параметра a равно …
, гистограмма частот которой имеет вид:
Тогда значение параметра a равно …
Определитель
равен …
равен …
Единичный набор у формулы
получается при следующих значениях переменных …
получается при следующих значениях переменных …Ранг матрицы
равен …
равен …
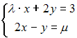
Если система линейных уравнений
,
где
– некоторые числа,
имеет бесконечное множество решений, то
равно …
,где
– некоторые числа,имеет бесконечное множество решений, то
равно …
Из урны, в которой находятся 12 белых и 5 черных шаров, вынимают наудачу один шар. Тогда вероятность того, что этот шар будет белым, равна …
Выборочное уравнение прямой линии регрессии
на
имеет вид
. Тогда выборочный коэффициент регрессии равен …
на
имеет вид
. Тогда выборочный коэффициент регрессии равен …
и
. Тогда их пересечение
равно …
не имеет обратной, при
, равном …
и
, то сумма
равна …
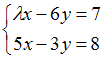
имеет единственное решение, если
не равно …
и B размера
. Тогда матрица
будет иметь размер …